
García-Beltrán, E. (2026). No es magia, es
prompting: el diseńo de prompts como competencia emergente en la formación
docente. Un estudio desde
el modelo CRETA+R [It's Not Magic, It's Prompting: Prompt Design as an Emerging
Competence in Teacher Education. A Study Based on the CRETA+R Model]. Pixel-Bit, Revista de Medios y Educación,
75, Art. 6. https://doi.org/10.12795/pixelbit.115487
ABSTRACT
The emergence of generative
artificial intelligence in education poses unprecedented challenges and
opportunities for initial teacher education. In this context, prompt design is
becoming a key competence that integrates pedagogical, linguistic, digital, and
ethical knowledge. This study analyzes the performance of 481 students from the
Master's Degree in Secondary Education Teaching in a task focused on creating
educational prompts, guided by the instructional model CRETA+R (Context, Role,
Examples, Task, Adjust, Refine). A mixed-methods approach was applied,
combining quantitative analysis (descriptive statistics, Spearman correlations,
and data visualizations) with a qualitative review of representative examples.
The prompts were evaluated using an analytical rubric applied by instructors,
and the data were processed with JASP software version 0.19.3. The results
indicate stronger performance in structural components such as “Context” and
“Task,” while more metacognitive aspects like “Adjust” and “Refine” proved more
challenging. Although no statistically significant differences were found
across specializations, visual and qualitative analyses revealed
discipline-specific patterns. The CRETA+R model is validated as an effective
scaffold to support the progressive development of this emerging competence in
teacher education.
RESUMEN
La irrupción de la
inteligencia artificial generativa en la educación plantea desafíos y
oportunidades sin precedentes para la formación inicial docente. En este
contexto, el diseńo de prompts emerge como una competencia clave que
articula saberes pedagógicos, lingüísticos, digitales y éticos. Este estudio
analiza el desempeńo de 481 estudiantes del Máster de Profesorado de Secundaria
en una actividad centrada en la elaboración de prompts educativos,
guiados por el modelo didáctico CRETA+R (Contexto, Rol, Ejemplos, Tarea,
Ajustar, Refinar). Se aplicó una metodología mixta que combinó análisis
cuantitativo (estadísticas descriptivas, correlaciones de Spearman y
visualización de datos) con análisis cualitativo de ejemplos representativos.
La evaluación se realizó mediante una rúbrica analítica aplicada por el
profesorado, y los datos fueron procesados con el software JASP 0.19.3. Los
resultados indican un buen dominio en componentes estructurales como “Contexto”
y “Tarea”, y mayores dificultades en los aspectos metacognitivos, como
“Ajustar” y “Refinar”. Aunque no se hallaron diferencias significativas entre
especialidades, el análisis visual y cualitativo muestra patrones diferenciados
por área. El modelo CRETA+R se consolida como un andamiaje eficaz para guiar el
desarrollo progresivo de esta competencia emergente en contextos de formación
docente.
KEYWORDS · PALABRAS CLAVES
Teacher Education; Artificial
Intelligence; Computer Assisted Instruction; Critical Thinking; Vocational
Training.
Educación
de Profesores; Inteligencia Artificial; Enseńanza Asistida por Ordenador;
Pensamiento Crítico; Formación Profesional.
1. Introduction
In recent years, generative artificial intelligence
(GenAI) has radically reshaped technological possibilities across multiple
sectors, and education has been no exception. Unlike earlier forms of AI
focused on predictive analytics or automation, generative models—such as large
language models (LLMs) or systems for visual and multimedia
generation—introduce capacities for dialogue, content creation and contextual
adaptation that redefine traditional ways of teaching, learning and assessment.
As Bearman et al. (2023) point out, higher education
is caught between two emerging discourses around AI: the discourse of
imperative transformation—which assumes AI is inevitable and must be integrated
urgently—and the discourse of altered authority, which questions how power
relations in teaching shift with the incorporation of these technologies. From
this perspective, GenAI is not merely another tool; it is a technology that
profoundly alters cognitive, pedagogical and social dynamics in the classroom.
The development of GenAI has brought about the
emergence of a new educational competence: the ability to design effective
prompts. A prompt is far more than a textual instruction; it is a way of
structuring knowledge, anticipating responses, contextualising intentions and
modulating the behaviour of the AI system. Recent studies emphasise that prompt
design requires a combination of linguistic, cognitive, technological and
pedagogical skills (Bozkurt & Sharma, 2023; Korzynski et al., 2023).
Writing a prompt requires the teacher to make decisions regarding tone, the
role assigned to the AI, examples to be included, the type of response
expected, and how the interaction will be refined based on the output received.
For this reason, authors such as Lo (2023) and Zamfirescu-Pereira et al. (2023)
argue that prompt writing constitutes an advanced form of digital literacy that
should form part of teachers’ professional repertoire. This competence is
particularly relevant in contemporary educational contexts where AI does not
merely provide technical support but becomes an active agent in the
teaching–learning process. Mastering prompt writing enables teachers not only
to better manage generative tools but also to design personalised, creative and
student-centred learning experiences.
The effective integration of generative AI in
educational settings demands a profound transformation in initial teacher
education. Digital literacy for teachers can no longer focus solely on
instrumental skills; it must incorporate critical understanding of algorithms,
data ethics, human–machine interaction and, crucially, the design of
interactions through language. In this sense, authors such as Knoth et al.
(2024) propose the concept of “AI literacy” as an expanded form of digital
literacy that encompasses the ability to interact with, evaluate and make
pedagogical decisions about AI-based technologies. Critical digital literacy
therefore requires future teachers to develop a reflective stance towards
algorithms, the biases they may contain, the power structures they reproduce
and the data they process. As Bearman et al. (2023) argue, educators must be
equipped not merely as informed users of technology but as ethical mediators
capable of making responsible decisions in AI-mediated educational contexts. Prompt
design emerges here as a practical pathway to enact this literacy in authentic
instructional design scenarios, requiring student teachers to understand how a
language-model system “thinks,” responds and learns.
Zamfirescu-Pereira et al. (2023) warn that even
advanced users may fail to formulate effective prompts, highlighting the need
for explicit and systematic instruction in this practice. Far from being a
minor technical skill, prompt design entails decision-making about tone, role,
format, examples and clarity of purpose. Recent literature also suggests that
prompt design can serve as an entry point to critical reflection on AI in the
classroom. For example, Bearman et al. (2023) emphasise that educational research
on AI must not be reduced to its technical dimension but should also address
its sociocultural, epistemological and ethical implications.
Given this panorama, there is a need for pedagogical
models that structure and guide the learning of prompt design in educational
settings. The CRETA+R model (Context, Role, Examples, Task, Adjust, Refine) is
proposed as a framework to support future teachers in the progressive and
reflective construction of high-quality prompts, fostering meaningful
interactions with generative AI tools. Inspired by principles of instructional
scaffolding (Reiser, 2004; Rosenshine, 2012), CRETA+R breaks down the complex
task of prompt writing into concrete and manageable steps. Each component
serves as a pedagogical cue: establishing the educational context, defining the
role the AI should adopt, offering relevant examples, specifying the desired
task, adjusting the language for the intended audience and refining the prompt
iteratively. In this line, Federiakin et al. (2024) contend that prompt design
should be approached as an assessable competence that combines linguistic,
heuristic and rhetorical strategies, calling for clear analytical frameworks
for educational development. Complementarily, Debnath et al. (2025) propose a
systematic framework for studying and teaching prompt engineering in education,
arguing that instructional models should guide both the structural composition
of the prompt and its iterative improvement process. These perspectives
reinforce the relevance of proposals such as CRETA+R, which aim to
operationalise this emerging competence through explicit, pedagogically
grounded steps.
This structure not only enhances the technical quality
of the prompt but also supports metacognitive processes, ethical reflection and
formative assessment. Recent studies (Bozkurt & Sharma, 2023; Oppenlaender
et al., 2024) agree that well-designed prompts not only produce better AI
outputs but also promote deeper learning by requiring users to articulate their
communicative intentions and critically evaluate the responses generated.
Applying the CRETA+R model in initial teacher education also makes it possible
to adapt prompt design to discipline-specific needs, facilitating
contextualised curricular integration. Furthermore, the model provides a common
framework for evaluating prompts through clear rubrics and iterative
improvement processes.
The past two years have seen a substantial increase in
research on the integration of AI in initial teacher education programmes. In a
systematic review of 138 studies, Bond (2024) identifies AI-supported material
design, conversational agents and automated assessment as the most common
applications. However, she also highlights the lack of concrete pedagogical
proposals to develop critical competencies related to AI. Similarly, Moldavan
and Nafziger (2024) worked with pre-service teachers on lesson plans assisted
by generative AI, showing that guided prompt design can help student teachers
question machine authority, develop critical thinking and reflect on equity and
personalisation in learning. The pilot study by Theophilou et al. (2023) offers
another relevant example. Conducted with European student teachers, the study
explored how prompt-based work can be used in classrooms not only to improve
technical skills but also to discuss the limits of AI, its biases and its
ethical implications. Across these studies, there is a shared conclusion:
teaching AI cannot be limited to technical training but must include
pedagogical frameworks that foster critical understanding, ethical design and
meaningful interaction with emerging technologies.
2. Methodology
This study adopts a descriptive and exploratory
approach aimed at analysing the emerging competence of prompt design among
pre-service teachers through the application of the CRETA+R model. This
methodological choice is particularly appropriate for educational research
focused on underexplored phenomena or those arising in contexts of rapid
technological change, such as the integration of generative artificial
intelligence in teacher education.
The research is situated within a mixed-methods
framework, combining quantitative analysis of general patterns and group
comparisons with qualitative analysis of representative examples of students’
work. This combination allows not only for describing performance, but also for
understanding the discursive, pedagogical and communicative nuances involved in
writing educational prompts.
2.1. Participants
The sample consisted of 481 students enrolled in the
Master’s Degree in Teacher Training for Secondary Education, Upper Secondary
Education (Bachillerato), Vocational Education and Training, and Language
Teaching. Participants represented a range of subject specialisations—such as
Spanish Language and Literature, Mathematics, English, Biology and Geology,
Geography and History, and Physical Education. All students were enrolled in a
course focused on innovation and digital technologies applied to teaching, within
which work with generative AI tools was introduced as part of a structured
learning experience. The master’s programme is delivered fully online.
The sample showed a balanced distribution in terms of
gender and age (range: 22–48 years). All participants held a prior university
degree in their subject area, although their familiarity with AI tools varied
considerably.
2.2. Instrument
The main data-collection instrument was an individual
task requiring students to design an educational prompt to be used with a
generative AI model (ChatGPT or equivalent). Students were instructed to create
a prompt aligned with a realistic learning situation from their subject
specialisation, explicitly applying the components of the CRETA+R model, which
consists of:
·
Context: a clear and coherent educational scenario.
·
Role: the role the AI is expected to adopt (e.g.,
tutor, evaluator, student).
·
Examples: models or illustrations guiding the expected
response.
·
Task: a precise description of the required output.
·
Adjust: adaptation of tone, language or format.
·
Refine: instructions for iterative improvement
following the AI’s initial response.
Each component was assessed by the teaching team using
an analytic rubric with four performance levels: Excellent, Good, Adequate and
Insufficient. The rubric was collaboratively developed by the instructors and
applied consistently for both formative and research purposes.
In addition to component-level evaluations, the
dataset included variables such as the student’s final grade in the course,
their mark in the final on-site examination, and the specific grade obtained on
the generative-AI activity.
To ensure reliability in the assessment process, the
analytic rubric was applied by a team of four instructors who completed a prior
calibration session. During this session, instructors jointly reviewed real
examples of prompts and discussed operational criteria for each performance
level to minimise inter-rater variability. The rubric included detailed
descriptors for each CRETA+R component across the four levels of achievement,
covering clarity of context, appropriateness of role assignment, quality of examples,
accuracy of the task description, linguistic adjustment and iterative
refinement. This process ensured maximum consistency and transparency,
essential given that the evaluations formed the basis for both the quantitative
and qualitative analyses.
2.3. Variables analysed
The dataset enabled the analysis of the following
variables:
·
Master’s specialisation (categorical): grouped into
standardised disciplinary areas.
·
Prompt quality (ordinal): performance level in each of
the six CRETA+R components.
·
Prompt activity grade (continuous): numerical mark for
the task.
·
Course grade (continuous): final mark in the module.
·
Final on-site exam grade (continuous).
These variables were analysed both independently and
relationally to explore patterns of performance by specialisation, correlations
between prompt quality and academic results, and components with stronger or
weaker development.
2.4. Data analysis procedure
Data were processed through a mixed-methods approach
integrating statistical analysis and qualitative review.
2.4.1.
Quantitative analysis
·
Descriptive statistics (means, frequencies, standard
deviations).
·
Comparative analysis by specialisation (Kruskal–Wallis
tests and boxplots).
·
Correlation analysis between grades and CRETA+R
performance (Spearman’s rho coefficients).
2.4.2. Qualitative
analysis
A focused review of a selection of representative
prompts chosen for their performance level and explanatory potential. This
review enabled the identification of discursive patterns, recurring strategies
and common errors in the application of each CRETA+R component.
All quantitative processing and visualisation were
carried out using JASP version 0.19.3 for macOS, an open-source statistical
tool offering robust procedures and interactive graphical outputs. JASP was
selected for its accessibility and transparency, making it particularly
suitable for educational contexts that promote critical and reproducible
analytical practices.
3. Results
The quantitative analysis provided a detailed picture
of student performance in prompt design using the CRETA+R model. Descriptive
statistics indicated a high average grade for the activity (M = 8.10; SD
≈ 0.49), suggesting generally strong performance across the cohort.
However, the presence of outliers in some specialisations (such as Mathematics
or Biology and Geology) highlights notable individual variability. The
comparative analysis by specialisation, conducted using the non-parametric
Kruskal–Wallis test, yielded no statistically significant differences (H =
5.13; p = 0.400). This suggests that performance in the prompt-design task was
not substantially dependent on students’ disciplinary backgrounds.
To examine relationships between performance in the
CRETA+R components and final grades, Spearman correlations were calculated
using ordinal encoding of rubric levels. The correlation coefficients were low
for all components, with only “Adjust” showing a weak but statistically
significant correlation (ρ = 0.111; p = 0.031). This result suggests that
greater precision in fine-tuning the prompt may be slightly associated with
higher overall performance. The remaining components showed correlations very
close to zero and were not statistically significant, reinforcing the idea that
success in the task is not driven by any single component but emerges from a
more complex interplay of factors. The scatterplots (figure 1) support this
interpretation, revealing flat distributions with no clear patterns and
indicating the need for further investigation into variables that may influence
successful prompt design.
3.1. Overall evaluation by CRETA+R component
Most students achieved ratings in the “Good” and
“Excellent” categories, with Context and Task being the strongest components.
In contrast, Adjust and Refine showed a higher concentration of ratings in the
“Adequate” category, suggesting that students encountered more difficulty in
aspects related to tone adaptation, language adjustment and iterative
refinement. Figure 2 displays the distribution of performance levels across the
six components of the CRETA+R model.
Figure 1
Correlation
Between Performance in CRETA+R Components and Activity Grade

Source: own
elaboration.
Figure 2
Distribution of
Evaluation Levels Across CRETA+R Components

Source: own
elaboration.
Each bar represents one of the six components. The
evaluation scale ranges across four levels—Excellent, Good, Adequate and
Insufficient—coded in varying shades of grey. The components with the strongest
performance are Context, Role, Task and Examples, all showing a clear
predominance of “Good,” with relatively few “Adequate” or “Excellent” ratings.
This pattern suggests that most students fulfilled the basic quality criteria
in these components, although without consistently reaching the highest levels.
Context stands out as one of the components with the highest proportion of
positive evaluations (Excellent + Good), potentially reflecting students’
familiarity with providing contextual information in academic tasks.
In contrast, the components showing the greatest
difficulty were Adjust and Refine, both displaying a substantially higher
proportion of ratings in the “Adequate” category. This indicates that these
aspects of prompt design were more challenging for students, likely due to the
linguistic, metacognitive or technical maturity required to adapt tone or
revise prompts iteratively. It is noteworthy that the “Insufficient” level was
virtually absent. The absence of significant proportions of “Insufficient” suggests
a minimum acceptable level of performance across all components, possibly
attributable to effective instructional guidance or the clarity of the rubric.
From a pedagogical perspective, these findings suggest
that students have consolidated the more structural components of prompt design
(setting context, defining the task, specifying the role), while the more
metacognitive and revision-oriented components (adjusting and refining) require
additional instructional support. Potential approaches include scaffolded
activities, peer feedback exercises and guided iterative revision using AI
tools.
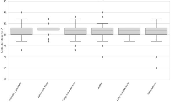
3.2. Analysis by specialisation
The grades obtained in the prompt-design activity
varied across specialisations. Most specialisations exhibited relatively high
mean scores, clustered around 8.0–8.3, indicating solid overall performance.
Several specialisations displayed narrow interquartile ranges, suggesting low
variability and a consistent application of the rubric. Physical Education
showed minimal dispersion (almost no visible boxplot), indicating that most
students received the same grade. By contrast, Mathematics presented a lower distribution
with outliers around 6.5, suggesting some difficulty among students in adapting
to the requirements of the task. This may be linked to less familiarity with
pedagogical language or reflective writing. English, Spanish Language and
Literature, and Geography and History showed similar distributions around 8.2,
with slight negative asymmetry caused by isolated low-performing cases. Biology
and Geology and Mathematics had more low outliers, evidencing greater
challenges for some students.
Differences across specialisations may reflect varying
levels of pedagogical or technological literacy, highlighting the need for
discipline-sensitive instruction in prompt design. Specialisations with lower
performance may benefit from more explicit scaffolding (e.g., guided sequences,
contextualised examples, iterative feedback). The absence of very high outliers
suggests that, although overall performance was good, very few submissions were
truly exceptional—indicating scope for fostering greater creativity or critical
depth in working with AI. Additionally, students in Mathematics, English, and
Spanish Language and Literature tended to obtain higher mean scores across most
components. Conversely, specialisations such as Physical Education and Biology
and Geology showed more concentration in middle or adequate performance levels.
Figure 3
Distribution of
Activity Grades by Specialisation (Boxplots)

Source: own
elaboration.
Specialisations with a larger number of students also
show a wider distribution toward the higher evaluation levels. This pattern is
generally repeated—with some nuances—across the remaining components of the
CRETA+R model. The heatmap visualisation (Figure 4, next page) displays the
mean scores for each CRETA+R component by master’s specialisation, using a
scale from 1 (Insufficient) to 4 (Excellent). Overall, ratings tend to cluster
around the “Good” level (3) across most components and specialisations, indicating
solid performance while still leaving room for improvement. Specialisations
such as Spanish Language and Literature, Geography and History, and Educational
Guidance show slightly above-average scores in nearly all components,
particularly in Context and Role.
In contrast, specialisations such as Physical
Education, Mathematics and Philosophy display somewhat lower values, especially
in the more complex components Refine and Adjust, which may
reflect less experience with the discursive or reflective tasks inherent to
educational prompt design. This pattern suggests that, although the CRETA+R
model is broadly applicable across disciplines, some specialisations require
more targeted pedagogical scaffolding to improve performance in components
related to critical revision and iterative refinement.
Figure 4
Heatmap of Mean
Scores by CRETA+R Component and Specialisation

Source: own
elaboration.
The radar chart (figure 5) compares the average
profile by specialisation across CRETA+R components. A generally balanced
pattern emerges, with scores close to “Good” (3), although notable differences
appear among areas. Spanish Language and Literature and Geography and History
show broader and more consistent profiles, particularly in Context, Role and
Task. Mathematics and Biology and Geology demonstrate lower performance,
especially in Refine and Adjust, indicating challenges in revision and iterative
improvement. This visualisation further highlights the value of CRETA+R in
identifying discipline-specific learning needs.
Figure 5
Comparative
Profile by Specialisation (Radar Chart)

Source: own elaboration.
3.3. Qualitative analysis findings
The qualitative analysis of a representative sample of
prompts revealed discursive patterns not visible in the quantitative results.
In structural components (Context, Role, Task), students generally offered
clear and coherent descriptions, although some contexts were excessively broad
(e.g., “develop a topic from my subject”) and lacked specificity regarding
academic level or pedagogical goals. Differences also emerged by specialisation
in the use of examples: students from Language, English and Humanities subjects
tended to include detailed and relevant models, whereas other areas—such as
Physical Education or Technology—often offered either minimal or uninformative
examples, limiting the AI’s ability to generate precise responses.
The components presenting the greatest difficulty were
Adjust and Refine. In Adjust, several students did not adequately adapt tone,
language level or format to the intended audience, producing instructions that
were either overly technical or overly informal. In Refine, most prompts did
not include any indication of iterative revision, confirming a limited
understanding of the cyclical nature of interactions with generative AI. Only a
small subset of students incorporated revision strategies (e.g., “if the
response does not meet the requirements, reformulate it as follows…”),
demonstrating higher metacognitive maturity. Overall, these qualitative
findings deepen the interpretation of the quantitative patterns and reinforce
the need for greater instructional support in the adjustment and iterative
stages of prompt design.
4. Discussion
The implementation of the CRETA+R model made it
possible to identify performance patterns and areas of difficulty that align
with current tensions surrounding AI literacy in higher education. Several
authors concur that prompt design represents a new form of digital literacy,
comparable to advanced skills in critical thinking and communication (Lo,
2023). In this regard, the master’s students who took part in this study
demonstrated solid performance in structural components such as Context
and Task, while exhibiting persistent difficulties in aspects that
demand greater communicative awareness, such as Adjust and Refine.
Teaching prompt design therefore extends beyond technical proficiency: it
involves thinking with the machine, anticipating interpretations,
modulating instructions, and learning to iterate.
The variability observed across specialisations
suggests that disciplinary background significantly influences how students
engage with each component of the model. While students in Spanish Language and
Literature, English, and Mathematics displayed more balanced and consistent
profiles, others—such as Physical Education and Biology and Geology—showed more
pronounced weaknesses, particularly in refining and adjusting language. This
pattern echoes findings reported by Silva (2024) in the context of chemistry
education, where students initially displayed a superficial understanding of
prompt design and resorted to copy-and-paste strategies before developing more
sophisticated approaches. These variations may stem partly from differences in
prior experience with structured academic expression or from the didactic
traditions prevalent in each discipline. As Bozkurt and Sharma (2023) argue,
the “art of whispering to the algorithm” requires skills ranging from clarity
of formulation to creativity and digital empathy—abilities not uniformly
developed across subject areas.
From a qualitative standpoint, the analysis of
representative examples revealed that Refine was the least developed
component for most students. This finding aligns with the results of Eager and
Brunton (2023), who highlight the importance of teaching iterative strategies
when working with generative AI, moving beyond superficial or one-way use. The
absence of revision or prompt adjustment after receiving an AI response points
to the need to strengthen the metacognitive dimension of this competence,
incorporating mechanisms for self-evaluation and progressive improvement.
Difficulties also emerged in the use of examples, particularly in areas such as
Physical Education or Technology, where students did not always provide clear
or pedagogically relevant models for the AI. As noted by Ranade et al. (2024),
effective prompts must clearly articulate context, audience and expected
response type—an aspect that requires rhetorical literacy not yet well
established among all future teachers. This gap suggests that prompt-design
competency cannot be developed solely from a functional perspective; it must also
address principles of communicative design, discourse theory, and the semiotic
interaction between humans and technology. Additionally, the fact that the
highest-performing students showed greater reflective capacity in the
adjustment and refinement phases aligns with what Sajja et al. (2024) describe
as “intelligent personalisation of learning,” a critical skill in AI-assisted
environments.
The findings also highlight the need to explicitly
include prompt design in teacher education programmes as an emergent
pedagogical competence, aligned with European guidelines on AI in education
(European Commission, 2022) and with Regulation (EU) 2024/1689, which
emphasises educators’ responsibility in the ethical, transparent and safe use
of AI technologies. From a critical standpoint, Bearman et al. (2023) argue
that current discourses on AI in education often oscillate between
technodeterminist enthusiasm and alarmist rejection. Against this backdrop, the
present study provides concrete evidence of how future teachers can begin to
relate to AI not only as users but as reflective designers of AI-mediated
learning experiences. As Baidoo-Anu and Owusu Ansah (2023) observe, the
widespread use of tools such as ChatGPT in higher education requires ethical
guidance, critical training and clear institutional policies. Developing
prompt-design competence must therefore be accompanied by reflection on the
limits and responsibilities associated with AI use in the classroom.
In this regard, the CRETA+R model proves valuable not
only as a structure for writing prompts, but also as a didactic mediator to
support thinking with and about AI. Its design aligns with
recommended strategies in the literature, such as task decomposition (Karakaya,
2025) and iterative refinement (Higginbotham & Matthews, 2024). The use of
CRETA+R functioned as an effective scaffolding strategy, helping students
organise their thinking around generative AI. The model not only supports
formative assessment of prompt-design work but, as Korzyński et al. (2023)
suggest, may also serve as a structural foundation for developing
prompt-engineering competencies as part of teachers’ professional skillsets.
The fact that Task and Context received the highest evaluations
indicates that the model offers strong support for components closely related
to instructional planning, whereas the more novel components—such as iteration
or tonal adjustment—require more time and practice to consolidate.
Finally, the findings underscore the value of situated
learning. As demonstrated in the workshop analysed by Graux et al. (2024),
mastery of prompt engineering does not emerge solely from exposure to examples,
but through trial, error, feedback and reconstruction. Embedding this
competence in collaborative settings—where students can share, critique and
iteratively refine prompts—can enhance both technical proficiency and
critical–reflective engagement.
5. Conclusions
This study has explored, from both an empirical and
pedagogical perspective, the development of prompt-design competence among
students enrolled in a Master’s Degree in Secondary Teacher Education. The
findings confirm that this competence is not only relevant within the current
context of digital transformation, but also requires targeted instructional
strategies to be effectively strengthened. The data indicate that future
teachers are capable of producing clear and coherent instructions—particularly in
the Context and Task components—yet face greater challenges in
more sophisticated stages of the process, such as linguistic adjustment and
iterative refinement. These limitations are consistent with barriers identified
in other studies on AI literacy (Zamfirescu-Pereira et al., 2023; Knoth et al.,
2024), reinforcing the need to integrate systematic approaches such as the
CRETA+R model into initial teacher education.
Furthermore, the comparison across specialisations
reveals that disciplinary background significantly shapes performance profiles.
Areas such as Language, English and Mathematics demonstrated greater overall
consistency, whereas others—such as Physical Education—showed a clearer need
for enhanced instructional support. These findings highlight the importance of
tailoring pedagogical strategies to disciplinary characteristics when
developing AI-related competencies.
In light of the evidence gathered, several pedagogical
recommendations are proposed to support the effective integration of prompt
design as an emerging competence in teacher education:
Table 1
Pedagogical
Recommendations for Developing Prompt-Design Competence in Teacher Education
|
Area |
Recommendation |
Rationale |
|
Curricular integration |
Include prompt design as
an explicit topic in courses on didactics, educational innovation or digital
competence. |
Responds to the need for
AI literacy in initial teacher education (European Commission, 2022; Knoth et
al., 2024). |
|
Methodological
scaffolding |
Use models such as
CRETA+R to guide and structure prompt writing, incorporating progressive
examples and collaborative analysis. |
Enhances prompt quality
and promotes metacognition (Korzyński et al., 2023). |
|
Iteration and refinement |
Design activities
requiring multiple rounds of refinement following AI interaction, with
explicit critical reflection. |
Strengthens adaptive and
metacognitive skills (Bozkurt & Sharma, 2023; Lo, 2023). |
|
Formative assessment |
Develop CRETA+R-based
rubrics including criteria for clarity, adaptability, linguistic adjustment
and iterative improvement. |
Supports effective
feedback and progress monitoring (González-Calatayud et al., 2021). |
|
Disciplinary perspective |
Adapt examples and
prompt-design tasks to the needs of each specialisation, ensuring
contextualised learning. |
Addresses the
differences observed across subject areas (Luckin et al., 2024; present
results). |
|
Ethical and critical
focus |
Incorporate
opportunities to discuss risks, biases and limitations of generative AI,
especially regarding automated assessment. |
Aligns with Regulation
(EU) 2024/1689 and proposals for inclusive AI (Roscoe, 2023; Bearman et al.,
2023). |
Integrating these practices can support the
development of teachers capable of interacting critically, creatively and
ethically with AI-based tools, contributing to more inclusive, reflective and
contextually grounded educational environments.
References
Baidoo-Anu, D., & Owusu
Ansah, L. (2023). Education in the era of generative artificial
intelligence: Understanding the impact of ChatGPT on teaching and learning. Education
and Information Technologies, 29, 739–758. https://doi.org/10.1007/s10639-023-11948-4
Bearman, M., Ryan, J., & Ajjawi, R. (2023). Discourses
of artificial intelligence in higher education: A critical literature review. Higher
Education, 86, 369–385. https://doi.org/10.1007/s10734-022-00937-2
Bond, M. (2024). AI applications in Initial Teacher
Education: A systematic mapping review. Computers and Education: Artificial
Intelligence, 6, 100228. https://doi.org/10.1016/j.caeai.2024.100228
Bozkurt, A., & Sharma, R. C. (2023). Generative AI
and prompt engineering: The art of whispering to let the genie out of the
algorithmic world. Asian Journal of Distance Education, 18(2), i–vii. https://tinyurl.com/mr2csd5u
Comisión Europea (2022). Directrices
éticas sobre el uso de la inteligencia artificial (IA) y los datos en la
educación y formación para los educadores. Oficina de Publicaciones de la
Unión Europea. https://tinyurl.com/yckdz2vk
Debnath, S., Dai, T., Smith, G., & Sridhar, S.
(2025). Prompt engineering in education: A framework and research agenda. Computers
and Education: Artificial Intelligence, 7, 100289. https://doi.org/10.1016/j.caeai.2025.100289
Eager, B., & Brunton, R. (2023). Prompting Higher
Education Towards AI-Augmented Teaching and Learning Practice. Journal of
University Teaching & Learning Practice, 20(5). https://doi.org/10.53761/1.20.5.02
Federiakin, M., Azaria, A., & Hershkovitz, A.
(2024). Prompt engineering skills and strategies: Toward a framework for
assessing student interaction with generative AI. Computers and Education:
Artificial Intelligence, 6, 100267. https://doi.org/10.1016/j.caeai.2024.100267
González-Calatayud, V.,
Prendes-Espinosa, P., & Roig-Vila, R. (2021). Artificial
Intelligence for Student Assessment: A Systematic Review. Applied Sciences,
11(12), 5467. https://doi.org/10.3390/APP11125467
Graux, A., Brassier, C., & Guillemet, M. (2024). Prompt
engineering as a learning activity in higher education: A case study of a
design workshop. Computers and Education: Artificial Intelligence, 6,
100258. https://doi.org/10.1016/j.caeai.2024.100258
Higginbotham, G.Z., & Matthews, N.S. (2024).
Prompting and In-Context Learning: Optimizing Prompts for Mistral Large. Research
Square. https://doi.org/10.21203/rs.3.rs-4430993/v1
Knoth, N., Tolzin, A., Janson, A., & Leimeister,
J. M. (2024). AI literacy and its implications for prompt engineering
strategies. Computers and Education: Artificial Intelligence, 6, 100225.
https://doi.org/10.1016/j.caeai.2024.100225
Korzyński, P., Mazurek, G., Krzypkowska, P.,
& Kurasiński, A. (2023). Artificial intelligence prompt engineering as
a new digital competence: Analysis of generative AI technologies such as
ChatGPT. Entrepreneurial Business and Economics Review, 11(3), 25–37. https://doi.org/10.15678/EBER.2023.110302
Lo, L. (2023). The Art and Science of Prompt
Engineering: A New Literacy in the Information Age. Internet Reference
Services Quarterly, 27, 203–210. https://doi.org/10.1080/10875301.2023.2227621
Luckin, R., Rudolph, J., Grünert, M., & Tan, S.
(2024). Exploring the future of learning and the relationship between human
intelligence and AI. An interview with Professor Rose Luckin. Journal of
Applied Learning and Teaching, 7(1), 346–363. https://doi.org/10.37074/jalt.2024.7.1.27
Moldavan, C., & Nafziger, R. (2024). Scaffolding a
Critical Lens of Generative AI for Lesson Planning. Contemporary Issues in
Technology and Teacher Education, 24(1), 45–62. https://tinyurl.com/mvaeu929
Oppenlaender, J., Linder, R., & Silvennoinen, J.
(2024). Prompting AI Art: An Investigation into the Creative Skill of Prompt
Engineering. International Journal of Human–Computer Interaction, 1-23. https://doi.org/10.1080/10447318.2024.2431761
Ranade, D., Gillespie, T., & Lin, T. (2024). Rhetorical
prompting: A framework for prompt design in educational contexts. Learning,
Media and Technology, 49(1), 12–34. https://doi.org/10.1080/17439884.2024.2278910
Reiser, B. J. (2004). Scaffolding complex learning:
The mechanisms of structuring and problematizing student work. Journal of
the Learning Sciences, 13(3), 273–304. https://doi.org/10.1207/s15327809jls1303_2
Roscoe, R. D. (2023). Building inclusive and equitable
artificial intelligence for education. XRDS: Crossroads, The ACM Magazine
for Students, 29(3), 22–25. https://doi.org/10.1145/3589637
Rosenshine, B. (2012). Principles of Instruction:
Research-Based Strategies That All Teachers Should Know. American Educator,
36(1), 12–19. https://eric.ed.gov/?id=EJ971753
Sajja, R., Sermet, Y., Cikmaz, M., Cwiertny, D., &
Demir, I. (2024). Artificial intelligence-enabled intelligent assistant for
personalized and adaptive learning in higher education. Information, 15(10),
596. https://doi.org/10.3390/info15100596
Silva, B. (2024). Generative Artificial Intelligence
in chemistry teaching: ChatGPT, Gemini, and Copilot’s content responses. Journal
of Applied Learning and Teaching, 7(2). https://doi.org/10.37074/jalt.2024.7.2.13
Theophilou, E., Koyutürka, C., Yavari, M., Bursic, S.,
Donabauer, G., Telari, A., Testa, A., Boiano, R., Hernández-Leo, D., Ruskov,
M., Taibi, D., Gabbiadini, A., & Ognibene, D. (2023). Learning to Prompt in
the Classroom to Understand AI Limits: A Pilot Study. In Proceedings of the
22nd International Conference of the Italian Association for Artificial
Intelligence (AIXIA 2023), Rome, Italy. https://doi.org/10.48550/arXiv.2307.01540
Unión Europea (2024). Reglamento
(UE) 2024/1689 del Parlamento Europeo y del Consejo, de 13 de junio de 2024,
por el que se establecen normas armonizadas en materia de inteligencia
artificial. Diario Oficial de la Unión Europea, L 144, 12 de julio de 2024.
https://tinyurl.com/9kn8ww8c
Zamfirescu-Pereira, J., Wong, R., Hartmann, B., &
Yang, Q. (2023). Why Johnny Can’t Prompt: How Non-AI Experts Try (and Fail) to
Design LLM Prompts. Proceedings of the 2023 CHI Conference on Human Factors
in Computing Systems. https://doi.org/10.1145/3544548.3581388
Funding
This study did not receive
financial support from any institution.
Suppelemntary
material
The dataset used in this
study is available upon reasonable request to the corresponding author.
Ethical Approval
This study did not require approval from an ethics
committee, as it involved anonymous self-administered questionnaires without
any form of intervention.
Conflict of interest
The authors declare no
conflict of interest.