
Cómo citar este artículo:
García-Beltrán,
E. (2026). No es magia, es prompting: el
diseño de prompts como competencia emergente en la
formación docente. Un estudio desde el
modelo CRETA+R [It's Not Magic, It's Prompting:
Prompt Design as an Emerging Competence in Teacher Education. A Study Based on
the CRETA+R Model]. Pixel-Bit, Revista de
Medios y Educación, 75,
Art. 6. https://doi.org/10.12795/pixelbit.115487
RESUMEN
La irrupción de la
inteligencia artificial generativa en la educación plantea desafíos y
oportunidades sin precedentes para la formación inicial docente. En este
contexto, el diseño de prompts emerge como una
competencia clave que articula saberes pedagógicos, lingüísticos, digitales y
éticos. Este estudio analiza el desempeño de 481 estudiantes del Máster de
Profesorado de Secundaria en una actividad centrada en la elaboración de prompts educativos, guiados por el modelo didáctico
CRETA+R (Contexto, Rol, Ejemplos, Tarea, Ajustar, Refinar). Se aplicó una
metodología mixta que combinó análisis cuantitativo (estadísticas descriptivas,
correlaciones de Spearman y visualización de datos) con análisis cualitativo de
ejemplos representativos. La evaluación se realizó mediante una rúbrica
analítica aplicada por el profesorado, y los datos fueron procesados con el
software JASP 0.19.3. Los resultados indican un buen dominio en componentes
estructurales como “Contexto” y “Tarea”, y mayores dificultades en los aspectos
metacognitivos, como “Ajustar” y “Refinar”. Aunque no se hallaron diferencias
significativas entre especialidades, el análisis visual y cualitativo muestra
patrones diferenciados por área. El modelo CRETA+R se consolida como un
andamiaje eficaz para guiar el desarrollo progresivo de esta competencia
emergente en contextos de formación docente.
ABSTRACT
The emergence of generative
artificial intelligence in education poses unprecedented challenges and
opportunities for initial teacher education. In this context, prompt design is
becoming a key competence that integrates pedagogical, linguistic, digital, and
ethical knowledge. This study analyzes the performance of 481 students from the
Master's Degree in Secondary Education Teaching in a
task focused on creating educational prompts, guided by the instructional model
CRETA+R (Context, Role, Examples, Task, Adjust, Refine). A mixed-methods
approach was applied, combining quantitative analysis (descriptive statistics,
Spearman correlations, and data visualizations) with a qualitative review of
representative examples. The prompts were evaluated using an
analytical rubric applied by instructors, and the data were processed
with JASP software version 0.19.3. The results indicate stronger performance in
structural components such as “Context” and “Task,” while more metacognitive
aspects like “Adjust” and “Refine” proved more challenging. Although no
statistically significant differences were found across specializations, visual
and qualitative analyses revealed discipline-specific patterns. The CRETA+R
model is validated as an effective scaffold to support the progressive
development of this emerging competence in teacher education.
PALABRAS CLAVES· KEYWORDS
Educación de Profesores;
Inteligencia Artificial; Enseñanza Asistida por Ordenador; Pensamiento Crítico;
Formación Profesional.
Teacher Education; Artificial Intelligence; Computer
Assisted Instruction; Critical Thinking; Vocational Training.
1. Introducción
En los últimos años, la
inteligencia artificial generativa (IAg) ha transformado radicalmente las
posibilidades tecnológicas en múltiples sectores, y la educación no ha sido la
excepción. A diferencia de formas anteriores de IA centradas en análisis
predictivo o automatización, los modelos generativos —como los grandes modelos
de lenguaje (LLM) o los sistemas de generación visual y multimedia— introducen
una capacidad de diálogo, creación de contenido y adaptación contextual que
redefine las formas tradicionales de enseñar, aprender y evaluar.
Como señalan Bearman et al. (2023),
la educación superior está atrapada entre dos discursos emergentes respecto a
la IA: el de la transformación imperativa —que asume que la IA es inevitable y
debe ser integrada urgentemente— y el de la alteración de la autoridad —que
cuestiona cómo las relaciones de poder en la enseñanza se modifican al
incorporar estas tecnologías. Desde esta perspectiva, la IAg no es simplemente
una herramienta más, sino una tecnología que altera profundamente las dinámicas
cognitivas, pedagógicas y sociales en el aula.
El desarrollo de la IAg ha
traído consigo el surgimiento de una nueva competencia educativa: la capacidad
de diseñar prompts efectivos. Un prompt
es mucho más que una instrucción textual; es una forma de estructurar el
conocimiento, anticipar respuestas, contextualizar intenciones y modular el
comportamiento de la IA. Investigaciones recientes han subrayado que el diseño
de prompts implica una combinación de habilidades
lingüísticas, cognitivas, tecnológicas y pedagógicas (Bozkurt & Sharma,
2023; Korzynski et al., 2023). El proceso de escribir
un prompt exige al docente tomar decisiones sobre el
tono, el rol que asumirá la IA, los ejemplos que ofrecerá, el tipo de respuesta
que espera y cómo refinará la interacción en función del resultado obtenido. De
ahí que autores como Lo (2023) y Zamfirescu-Pereira et al. (2023) propongan
considerar la escritura de prompts como una forma
avanzada de alfabetización digital que debe formar parte del repertorio
profesional del profesorado. Esta competencia se convierte en especialmente
relevante en el contexto educativo actual, donde la IA no solo ofrece apoyo
técnico, sino que se convierte en un agente activo del proceso de
enseñanza-aprendizaje. Dominar la escritura de prompts
permite a los docentes no solo controlar mejor el funcionamiento de las
herramientas generativas, sino también diseñar experiencias de aprendizaje
personalizadas, creativas y centradas en el estudiante.
La incorporación efectiva de
la IA generativa en entornos educativos exige una transformación profunda en la
formación inicial del profesorado. La alfabetización digital docente ya no
puede centrarse únicamente en competencias instrumentales; debe incluir la
comprensión crítica de los algoritmos, la ética del uso de datos, la
interacción humano-máquina y, especialmente, el diseño de interacciones a
través del lenguaje. En este sentido, autores como Knoth et al. (2024) han
propuesto el concepto de “AI literacy” para referirse
a una forma extendida de alfabetización digital que incluye la capacidad de
interactuar, evaluar y tomar decisiones pedagógicas con y sobre tecnologías
basadas en inteligencia artificial. La alfabetización digital crítica implica,
por tanto, desarrollar en los futuros docentes una mirada reflexiva sobre los
algoritmos, los sesgos que pueden contener, las estructuras de poder que
reproducen y los datos que procesan. Como señalan Bearman et al. (2023), es
necesario formar docentes que no solo sean usuarios informados de la
tecnología, sino también mediadores éticos capaces de tomar decisiones
responsables en contextos educativos mediados por IA. En este contexto, el
diseño de prompts se presenta como una práctica
emergente que permite materializar esta alfabetización en situaciones reales de
diseño didáctico, ya que obliga a los docentes en formación a comprender cómo
piensa, responde y aprende un sistema basado en modelos de lenguaje.
Zamfirescu-Pereira et al.
(2023) advierten que incluso usuarios con formación avanzada pueden fallar en
la formulación de prompts eficaces, lo que pone de
relieve la necesidad de una enseñanza explícita y sistematizada sobre esta
práctica. Lejos de ser una habilidad técnica menor, el diseño de prompts implica tomar decisiones sobre tono, rol, formato,
ejemplos y claridad de propósito. La literatura reciente subraya además que el
diseño de prompts puede servir como puerta de entrada
para la reflexión crítica sobre la IA en el aula. Por ejemplo, Bearman et al.
(2023) insisten en que la investigación educativa sobre IA no puede reducirse a
su dimensión técnica, sino que debe abordar también sus implicaciones
socioculturales, epistemológicas y éticas.
Ante este panorama, resulta
necesario desarrollar modelos pedagógicos que estructuren y guíen el
aprendizaje del diseño de prompts en contextos
educativos. El modelo CRETA+R (Contexto, Rol, Ejemplos, Tarea, Ajustar,
Refinar) surge como una propuesta para apoyar a los futuros docentes en la
construcción progresiva y reflexiva de prompts de
calidad, facilitando una interacción significativa con herramientas de IA
generativa. Inspirado en principios de scaffolding
instruccional (Reiser, 2004; Rosenshine, 2012),
CRETA+R permite descomponer la tarea compleja de escribir prompts
en pasos concretos y accesibles. Cada componente actúa como un recordatorio
pedagógico: establecer el contexto de la situación de aprendizaje, definir el
rol que debe asumir la IA, ofrecer ejemplos relevantes, describir la tarea
esperada, ajustar el lenguaje según el destinatario y refinar el prompt a través de iteraciones. En esta misma línea, Federiakin et al. (2024) sostienen que el diseño de prompts debe abordarse como una competencia evaluable que
combina estrategias lingüísticas, heurísticas y retóricas, lo que demanda
marcos analíticos claros para su desarrollo formativo. Complementariamente,
Debnath et al. (2025) plantean un marco sistemático para investigar y enseñar prompt engineering en educación,
argumentando que los modelos didácticos deben guiar tanto la estructuración del
prompt como su proceso iterativo de mejora. Estas
perspectivas refuerzan la pertinencia de propuestas como CRETA+R, que buscan
operacionalizar esta competencia emergente mediante pasos explícitos y
pedagógicamente fundamentados.
Esta estructura favorece no
solo la mejora técnica del prompt, sino también
procesos de metacognición, reflexión ética y evaluación formativa. Estudios
recientes (Bozkurt y Sharma, 2023; Oppenlaender et
al., 2024) coinciden en señalar que los prompts bien
diseñados no solo producen mejores resultados por parte de la IA, sino que
también promueven aprendizajes más profundos al obligar al usuario a explicitar
sus intenciones comunicativas y a revisar críticamente las respuestas
generadas. La aplicación del modelo CRETA+R en la formación inicial docente
permite además adaptar el diseño de prompts a las
especificidades de cada disciplina, facilitando su integración curricular de
forma contextualizada. Asimismo, ofrece un marco común para la evaluación de
los prompts, permitiendo establecer rúbricas
transparentes y procesos de mejora continua.
En los últimos dos años se
ha producido un notable incremento en las investigaciones sobre la integración
de la IA en los programas de formación inicial docente. Bond (2024), en una
revisión sistemática de 138 estudios, identifica el diseño de materiales con
IA, el uso de asistentes conversacionales y la evaluación automatizada como las
aplicaciones más comunes. Sin embargo, también destaca la falta de propuestas
pedagógicas concretas para desarrollar competencias críticas en relación con la
IA. Moldavan y Nafziger (2024), por su parte, han
trabajado con estudiantes de magisterio en el diseño de planes de clase
asistidos por IA generativa, mostrando que el uso guiado de prompts
puede ayudar a los futuros docentes a cuestionar la autoridad de la máquina,
desarrollar pensamiento crítico y reflexionar sobre la equidad y la
personalización del aprendizaje. La investigación de Theophilou
et al. (2023) representa otro ejemplo relevante. En un estudio piloto con
estudiantes europeos, se exploró cómo el trabajo con prompts
puede ser utilizado en el aula no solo para mejorar habilidades técnicas, sino
también para discutir los límites de la IA, sus sesgos y sus implicaciones
éticas. Todos estos estudios coinciden en señalar que la enseñanza de la IA no
debe limitarse a la capacitación técnica, sino que debe estar acompañada de
marcos pedagógicos que promuevan la comprensión crítica, el diseño ético y la
interacción significativa con estas herramientas emergentes.
2. Metodología
El presente estudio adopta
un enfoque descriptivo y exploratorio, con el objetivo de analizar la
competencia emergente en el diseño de prompts por
parte de estudiantes en formación inicial docente, a través de la aplicación
del modelo CRETA+R. Esta aproximación metodológica resulta especialmente
pertinente en investigaciones educativas orientadas a fenómenos poco explorados
o que emergen en contextos de cambio tecnológico acelerado, como es el caso del
uso de inteligencia artificial generativa en la formación del profesorado.
La investigación se inscribe
dentro de un marco de análisis mixto, combinando el estudio cuantitativo de
patrones generales y comparativas entre grupos, con un análisis cualitativo
orientado a interpretar ejemplos representativos de los productos generados por
el alumnado. Esta complementariedad de enfoques permite no solo describir el
desempeño de los estudiantes, sino también comprender los matices discursivos,
pedagógicos y comunicativos implicados en la escritura de prompts
educativos.
2.1. Participantes
La muestra del estudio
estuvo compuesta por 481 estudiantes del Máster Universitario en Formación del
Profesorado de Educación Secundaria Obligatoria y Bachillerato, Formación
Profesional y Enseñanza de Idiomas, procedentes de diversas especialidades: Lengua
y Literatura, Matemáticas, Inglés, Biología y
Geología, Geografía e Historia, Educación Física, entre otras. Todos los
participantes cursaban una asignatura centrada en la innovación y el uso de
tecnologías digitales aplicadas a la enseñanza, en la que se introdujo el
trabajo con inteligencia artificial generativa como parte de una experiencia
formativa. El Máster pertenece a una universidad online.
La muestra presentó una
distribución equilibrada en cuanto a género y edad (rango: 22–48 años), y todos
los participantes contaban con formación universitaria previa en su disciplina,
aunque con niveles de familiaridad muy diversos respecto al uso de herramientas
de IA.
2.2. Instrumento
El instrumento principal de
recogida de datos consistió en una tarea individual que implicaba el diseño de
un prompt educativo para ser utilizado con un modelo
de IA generativa (ChatGPT u otro equivalente). La
consigna pedía al alumnado que desarrollara un prompt
alineado con una situación de aprendizaje realista de su especialidad,
aplicando de forma explícita los componentes del modelo CRETA+R, una estructura
didáctica compuesta por los siguientes elementos:
·
Contexto:
situación educativa clara y coherente.
·
Rol:
definición del papel que debe adoptar la IA (por ejemplo, tutor, evaluador,
estudiante).
·
Ejemplos:
modelos o casos que orientan la respuesta.
·
Tarea:
descripción clara de la actividad esperada.
·
Ajustar:
adaptación de formato, tono o lenguaje.
·
Refinar:
iteración o mejora tras una primera interacción con la IA.
Cada uno de estos
componentes fue evaluado por el equipo docente mediante una rúbrica analítica
con cuatro niveles de logro: Excelente, Bueno, Adecuado, Insuficiente. La
rúbrica fue consensuada por los profesores responsables de la asignatura y
utilizada de forma sistemática con fines tanto formativos como investigativos.
Además de la calificación
cualitativa por componente, se registraron otras variables relevantes del curso
académico, tales como la nota final de la asignatura, la nota obtenida en el
examen presencial final y la calificación específica de la actividad con IA
generativa.
Para garantizar la
fiabilidad del proceso evaluador, la rúbrica analítica fue aplicada por un
equipo de cuatro docentes responsables de la asignatura, previamente
coordinados mediante una sesión de calibración. En dicha sesión, los profesores
revisaron de manera conjunta ejemplos reales de prompts
y discutieron los criterios operativos de cada nivel de logro, con el fin de
unificar criterios y reducir la variabilidad interevaluador.
La rúbrica incluía descriptores específicos para cada componente del modelo
CRETA+R, distribuidos en cuatro niveles (Excelente, Bueno, Adecuado e
Insuficiente), que evaluaban la claridad del contexto, la pertinencia del rol
asignado a la IA, la calidad de los ejemplos, la precisión de la tarea, el
ajuste lingüístico y el refinamiento iterativo. Este procedimiento permitió
maximizar la consistencia y transparencia en la evaluación, aspecto esencial
dado que dichas calificaciones constituyen la base del análisis cuantitativo y
cualitativo del estudio.
2.3. Variables analizadas
El conjunto de datos
permitió trabajar con las siguientes variables principales:
·
Especialidad
del máster (variable categórica): clasificada en áreas disciplinarias
normalizadas.
·
Calidad
del prompt (variables ordinales): nivel alcanzado en
cada uno de los seis componentes del modelo CRETA+R.
·
Nota del la actividad
de diseño de prompts (variable continua):
calificación específica obtenida por el estudiante en la tarea.
·
Nota
del curso (variable continua): calificación global obtenida en la asignatura.
·
Nota
del examen presencial (variable continua): evaluación escrita individual.
Estas variables fueron
objeto de análisis tanto individual como relacional, para explorar posibles
patrones de desempeño por especialidad, correlaciones entre la calidad del prompt y las calificaciones, y componentes que presentan
mayor o menor desarrollo por parte del alumnado.
2.4. Procedimiento de
análisis de datos
Los datos fueron organizados
y tratados mediante un análisis mixto, que integró herramientas estadísticas y
revisión cualitativa:
2.4.1. Análisis cuantitativo
·
Estadísticas
descriptivas generales (medias, frecuencias, desviaciones estándar).
·
Análisis
comparativos por especialidad (test de Kruskal-Wallis y gráficos de caja).
·
Análisis
de correlaciones entre notas y desempeño en los componentes del modelo
(coeficientes de Spearman).
2.4.2. Análisis cualitativo
Revisión en profundidad de
una muestra de prompts representativos, seleccionados
por su nivel de desempeño y por su potencial explicativo. Este análisis
permitió identificar patrones discursivos, estrategias recurrentes, y errores
comunes en la aplicación de cada componente del modelo CRETA+R.
Todo el procesamiento y
análisis estadístico se realizó con el software JASP versión 0.19.3 para Apple,
una herramienta de análisis de código abierto que permite realizar
procedimientos estadísticos robustos y visualizaciones interactivas. JASP fue
elegido por su accesibilidad y transparencia, lo que lo convierte en un recurso
especialmente adecuado para contextos educativos en los que se fomenta el
pensamiento crítico y reproducible.
3. Resultados
El análisis cuantitativo
realizado permitió obtener una visión detallada del desempeño del alumnado en
el diseño de prompts aplicando el modelo CRETA+R. Las
estadísticas descriptivas generales muestran que la nota media de la actividad
fue elevada (M = 8.10; DT ≈ 0.49), lo que indica un desempeño globalmente
satisfactorio por parte de los estudiantes. No obstante, los valores atípicos
observados en algunas especialidades (como Matemáticas o Biología y Geología)
reflejan la existencia de diferencias individuales relevantes. El análisis
comparativo por especialidad, realizado mediante el test
no paramétrico de Kruskal-Wallis, no arrojó diferencias estadísticamente
significativas (H= 5.13; p=0.400), lo cual sugiere que la nota obtenida en la
actividad de diseño de prompt no depende de forma
sustancial de la disciplina de procedencia del alumnado.
En cuanto a la relación
entre el desempeño por componente del modelo CRETA+R y la nota final, se aplicó
un análisis de correlación de Spearman, codificando ordinalmente los niveles de
evaluación. Los coeficientes de correlación fueron bajos en todos los casos,
destacando únicamente el componente “Ajustar”, que presentó una correlación
débil pero estadísticamente significativa (ρ = 0.111; p = 0.031), lo cual
sugiere que una mayor precisión en la redacción y afinado del prompt podría estar ligeramente asociado a un mejor
resultado global. El resto de componentes mostró
correlaciones muy próximas a cero y no significativas, lo que refuerza la idea
de que el rendimiento en la actividad no puede explicarse de forma directa por
un solo factor, sino por una combinación compleja de elementos. Los gráficos de
dispersión confirman esta interpretación (figura 1, siguiente página),
mostrando distribuciones planas sin patrones claros, y apuntan a la necesidad
de seguir explorando variables intervinientes que puedan incidir en el éxito
del diseño de prompts con IA.
3.1 Evaluación general por
componente CRETA+R
La mayoría del alumnado
obtuvo valoraciones en los niveles “Bueno” y “Excelente”, siendo los
componentes de Contexto y Tarea los mejor resueltos. En contraste, los
componentes Ajustar y Refinar presentaron una mayor concentración en los
niveles “Adecuado”, lo que sugiere que los estudiantes encuentran mayores
dificultades en los aspectos relacionados con el ajuste de tono, lenguaje y
capacidad de iteración con la IA. A continuación, en la figura 2, se puede ver
la distribución de niveles de evaluación por componente del modelo CRETA+R.
Figura 1
Correlación entre desempeño en componentes CRETA+R y nota de la actividad

Fuente: elaboración propia.
Figura 2
Distribución de niveles de evaluación por componentes del modelo CRETA+R

Fuente: elaboración propia.
Cada barra representa uno de
los seis componentes del modelo CRETA+R. Los niveles de evaluación están
representados en una escala de cuatro categorías: Excelente, Bueno, Adecuado e
Insuficiente, cada uno con un tono de gris diferente. Los componentes con un
mejor desempeño son Contexto, Rol, Tarea y Ejemplos: muestran un claro
predominio del nivel "Bueno", con pocas apariciones de “Adecuado” y
“Excelente”. Este patrón sugiere que la mayoría del alumnado logra cumplir los
criterios básicos de calidad en estos componentes, aunque sin destacar
especialmente. Contexto es uno de los componentes con mayor número de
valoraciones positivas (Excelente + Bueno), lo cual puede estar relacionado con
la familiaridad del alumnado con la exposición de información contextual en
tareas académicas.
Por el contrario, los
componentes que muestran mayores dificultades son Ajustar y Refinar son los
componentes que presentan un porcentaje considerablemente más alto en la
categoría "Adecuado", lo que indica que estos aspectos del diseño de prompts fueron más complejos para los estudiantes. Esto
puede reflejar la dificultad de revisar y mejorar iterativamente los prompts (refinar) o de redactarlos con claridad, precisión
y sin errores (ajustar), lo que implica una mayor madurez lingüística,
metacognitiva o técnica. Resulta pertinente señalar la ausencia del nivel
“Insuficiente”. El hecho de que ningún componente tenga una proporción
significativa de evaluaciones como “Insuficiente” sugiere un desempeño mínimo
aceptable en todos los casos, posiblemente vinculado a la calidad de la
formación recibida o al uso de una rúbrica clara que orientó correctamente a
los estudiantes.
En cuanto a las implicaciones
didácticas de este análisis, se puede concluir que que
los componentes más estructurales del diseño de un prompt
(como establecer contexto, definir la tarea o indicar un rol) están más
consolidados. En cambio, los aspectos más metacognitivos y de revisión (como
ajustar y refinar) requieren un mayor apoyo formativo. Esto podría abordarse
mediante actividades de andamiaje progresivo, ejercicios de retroalimentación
entre pares o el uso de herramientas de IA para revisar iterativamente.
3.2 Análisis por
especialidad
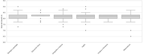
En cuanto a la calificación
obtenida en la actividad de diseño de prompt, se
observan diferencias en función de las especialidades de los alumnos en el
Máster. La mayoría de las especialidades presentan notas medias relativamente
altas, centradas en torno al 8.0 -8.3, lo que sugiere un buen desempeño general
en la actividad de diseño de prompts con IA. Los
rangos intercuartílicos son bastante estrechos en varias especialidades, lo que
indica poca variabilidad entre los estudiantes. Esto puede reflejar una rúbrica
clara y un criterio de evaluación homogéneo. En cuanto a la comparación entre
especialidades, Educación Física muestra una dispersión muy baja (casi sin caja
visible), lo que sugiere que la mayoría de estudiantes
obtuvieron la misma nota. Matemáticas presenta una distribución más baja con
respecto al resto, con valores atípicos hacia el 6.5, lo que indica cierta
dificultad del alumnado de esta especialidad para adaptarse a los
requerimientos de la actividad. Esto puede relacionarse con una menor familiaridad
con el lenguaje pedagógico o con la escritura reflexiva. Por su parte, Inglés, Lengua y Literatura, y Geografía e Historia muestran
distribuciones similares, centradas en torno a 8.2, con una ligera asimetría
negativa (algunos valores bajos aislados). Biología y Geología, y Matemáticas
presentan outliers más bajos, lo que evidencia que
algunos estudiantes tuvieron mayores dificultades con la tarea.
Las diferencias por
especialidad podrían reflejar distintos niveles de alfabetización pedagógica o
tecnológica, lo que sugiere la necesidad de adaptar la enseñanza del diseño de prompts según el perfil disciplinar del alumnado. Las
especialidades que muestran menor rendimiento necesitarían estrategias de
andamiaje más explícitas (por ejemplo, secuencias guiadas, ejemplos
contextualizados o feedback iterativo). La ausencia
de valores extremos altos indica que, aunque el desempeño fue bueno en general,
hubo pocas respuestas sobresalientes, lo que podría sugerir una oportunidad
para fomentar mayor creatividad o profundidad crítica en el uso de la IA.
Asimismo, se observó que los estudiantes de Matemáticas, Inglés
y Lengua y Literatura obtuvieron mejores promedios generales en la mayoría de
los componentes. Por el contrario, las especialidades como Educación Física y
Biología y Geología tendieron a concentrarse en niveles medios o adecuados.
Figura 3
Distribución de la calificación de la actividad por especialidad (boxplots)

Fuente: elaboración propia.
Las especialidades con mayor
cantidad de estudiantes muestran también una mayor distribución hacia los
niveles altos de evaluación. Este patrón se repite, con matices, en los demás
componentes del modelo CRETA+R. La visualización tipo heatmap
(figura 4, siguiente página) muestra las puntuaciones medias por componente del
modelo CRETA+R según la especialidad del máster, utilizando una escala de 1
(Insuficiente) a 4 (Excelente). En general, se observa un predominio de
valoraciones cercanas al nivel “Bueno” (3) en la mayoría de los componentes y
especialidades, lo que sugiere un desempeño sólido
pero aún con margen de mejora. Las especialidades de Lengua y literatura,
Geografía e historia y Orientación educativa presentan puntuaciones ligeramente
superiores a la media en casi todos los componentes, destacando especialmente
en “Contexto” y “Rol”. Por el contrario, especialidades como Educación física,
Matemáticas y Filosofía muestran valores algo más bajos, en especial en los
componentes más complejos como “Refinar” y “Ajustar”, lo cual podría vincularse
a un menor entrenamiento en tareas discursivas o reflexivas propias del diseño
de prompts educativos. Este resultado sugiere que,
aunque el modelo CRETA+R es aplicable de forma transversal, algunas especialidades
requieren de andamiajes pedagógicos específicos para mejorar en los componentes
más vinculados con la revisión crítica y la mejora iterativa del prompt.
Figura 4
Heatmap de
puntuaciones medias por componente y especialidad

Fuente: elaboración propia.
El gráfico radar (figura 5,
siguiente página) compara el perfil medio por especialidad en los componentes
del modelo CRETA+R. Se observa un patrón general equilibrado, con puntuaciones
cercanas al nivel “Bueno” (3), aunque con diferencias notables entre áreas. Las
especialidades de Lengua y Literatura y Geografía e Historia presentan
perfiles más amplios y consistentes, especialmente en los componentes
“Contexto”, “Rol” y “Tarea”. En cambio, Matemáticas y Biología y Geología
muestran rendimientos más bajos, sobre todo en “Refinar” y “Ajustar”, lo que
sugiere dificultades en los procesos de revisión y mejora del prompt. Esta visualización evidencia la utilidad del modelo
CRETA+R para detectar necesidades formativas específicas por área disciplinar.
Figura 5
Perfil comparativo por especialidad (gráfico radar)

Fuente: elaboración propia.
3.3 Resultados del análisis
cualitativo
El análisis cualitativo de
una muestra representativa de prompts permitió
identificar patrones discursivos que no emergen con claridad en el análisis
cuantitativo. En los componentes estructurales (Contexto, Rol y Tarea), los
estudiantes tendieron a ofrecer descripciones claras y coherentes, aunque en
algunos casos el contexto se formuló de forma excesivamente general
(“desarrolla un tema de mi asignatura”) sin especificar nivel educativo ni
objetivo pedagógico. En cuanto al uso de ejemplos, se observaron diferencias
por especialidad: los estudiantes de Lengua, Inglés y
Geografía emplearon modelos concretos y alineados con la tarea, mientras que en otras áreas, como Educación Física o Tecnología, los
ejemplos eran escasos o poco informativos, lo que limitaba la capacidad de la
IA para generar respuestas precisas.
Los componentes más
problemáticos fueron Ajustar y Refinar. En Ajustar, varios estudiantes no
lograron adaptar el tono, nivel de lenguaje o formato al destinatario previsto,
produciendo instrucciones demasiado técnicas o, por el contrario, excesivamente
coloquiales. En Refinar, la mayoría de los prompts no
incluían ninguna indicación de iteración posterior, lo cual confirma una
comprensión limitada del carácter cíclico del trabajo con IA generativa. Solo
un pequeño número de estudiantes incorporó estrategias de revisión (“si la
respuesta no cumple… vuelve a formularla de este modo”), demostrando mayor
madurez metacognitiva. En conjunto, estos hallazgos cualitativos permiten
profundizar en las dificultades observadas en el análisis cuantitativo y
evidencian la necesidad de un mayor acompañamiento didáctico en las fases de
ajuste y mejora del prompt.
4. Discusión
La implementación del modelo
CRETA+R ha permitido visibilizar patrones de desempeño y áreas de dificultad
que coinciden con las tensiones actuales en torno a la alfabetización en
inteligencia artificial en la educación superior. Diversos autores coinciden en
señalar que el diseño de prompts representa una nueva
forma de alfabetización digital, comparable a otras habilidades avanzadas de
pensamiento crítico y comunicación (Lo, 2023). En este sentido, los estudiantes
del máster que participaron en este estudio demostraron niveles aceptables en
componentes estructurales como Contexto y Tarea, pero dificultades persistentes
en elementos que exigen mayor conciencia comunicativa, como Ajustar o Refinar.
Por tanto, enseñar a diseñar prompts va más allá de
la técnica: implica pensar con la máquina, anticipar interpretaciones, modular
instrucciones y aprender a iterar.
La variabilidad observada
por especialidades sugiere que el perfil disciplinar influye notablemente en la
forma en que se abordan los componentes del modelo. Mientras que los
estudiantes de Lengua y Literatura, Inglés y
Matemáticas muestran perfiles equilibrados y sólidos, otros como Educación
Física y Biología y Geología presentan debilidades más marcadas, especialmente
en el refinamiento y ajuste del lenguaje. Este patrón coincide con lo observado
por Silva (2024) en el campo de la enseñanza de la química, donde los
estudiantes presentan inicialmente una comprensión superficial del diseño de prompts y tienden a adoptar estrategias de copiado y pegado
antes de desarrollar enfoques más sofisticados. Estas variaciones podrían
explicarse en parte por la familiaridad previa con formas de expresión
académica estructurada o por la cultura didáctica predominante en cada
especialidad. Tal como argumentan Bozkurt y Sharma (2023), el arte de susurrar
al algoritmo requiere habilidades que van desde la formulación clara hasta
la creatividad y la empatía digital, habilidades que no siempre se desarrollan
de manera homogénea entre disciplinas.
Desde un enfoque más
cualitativo, el análisis de ejemplos representativos permitió observar que la
componente “Refinar” fue la menos trabajada por la mayoría de los estudiantes.
Esta debilidad se alinea con los hallazgos de Eager y Brunton (2023), quienes
subrayan la importancia de enseñar estrategias iterativas en la relación con la
IA generativa, superando el uso superficial o unidireccional. La falta de
revisión o ajuste del prompt tras obtener una primera
respuesta de la IA sugiere la necesidad de fortalecer la dimensión
metacognitiva de esta competencia, integrando mecanismos de autoevaluación y
mejora progresiva. Asimismo, se observaron dificultades en la aplic ación del componente
“Ejemplos”, especialmente en disciplinas como educación física o tecnología,
donde los estudiantes no siempre lograron proporcionar modelos comprensibles
para la IA ni pertinentes al contenido. Como señalan Ranade et al. (2024), los prompts efectivos deben articular de forma clara el
contexto, la audiencia y el tipo de respuesta esperada, lo que implica una
alfabetización retórica que aún no está presente en todos los futuros docentes.
Esta brecha indica que el desarrollo del diseño de prompts
no puede abordarse únicamente desde una perspectiva funcional, sino que debe
considerar elementos del diseño comunicativo, la teoría del discurso y la
interacción semiótica con las tecnologías. Además, el hecho de que los
estudiantes mejor evaluados mostraran mayores niveles de reflexión en las fases
de ajuste y refinamiento conecta con lo que Sajja et al. (2024) denominan “personalización
inteligente del aprendizaje“, una capacidad crítica en
entornos asistidos por IA.
Los resultados ponen de
manifiesto la necesidad de incluir explícitamente el diseño de prompts en los programas de formación docente como
competencia pedagógica emergente, alineada con las directrices europeas sobre
IA en educación (Comisión Europea, 2022) y con el nuevo Reglamento 2024/1689
(Unión Europea, 2024), que subraya la responsabilidad de educadores en el uso
ético, transparente y seguro de estas tecnologías. Desde un enfoque crítico,
Bearman et al. (2023) advierten que los discursos actuales sobre IA en
educación suelen oscilar entre el entusiasmo tecnodeterminista
y el rechazo alarmista. Frente a ello, este estudio aporta una evidencia
concreta de cómo los futuros docentes pueden comenzar a relacionarse con la IA
no solo como usuarios, sino como diseñadores reflexivos de experiencias de
aprendizaje mediadas por tecnología. Tal como señalan Baidoo-Anu y Owusu Ansah
(2023), el uso generalizado de herramientas como ChatGPT
en la educación superior requiere de acompañamiento ético, formación crítica y políticas
institucionales claras. El desarrollo de la competencia de diseño de prompts debe ir necesariamente acompañado de una reflexión
sobre los límites y responsabilidades del uso de IA en el aula.
En este sentido, el modelo
CRETA+R se revela como una propuesta valiosa no solo para estructurar la tarea
de escribir prompts, sino también como mediador
didáctico para enseñar a pensar con y sobre la IA. Su diseño se alinea con
estrategias recomendadas en la literatura, como el desglose por tareas
(Karakaya, 2025) y el refinamiento iterativo (Higginbotham & Matthews,
2024). El uso del modelo CRETA+R ha funcionado como una estrategia de scaffolding para estructurar el pensamiento del alumnado en
torno a la IA generativa. Esta herramienta no solo facilita la evaluación
formativa del trabajo con prompts, sino que, como
sugieren Korzyński et al. (2023), puede
convertirse en una base estructural para desarrollar competencias de ingeniería
de prompts como parte del repertorio profesional
docente. El hecho de que los componentes mejor valorados hayan sido “Tarea” y
“Contexto” indica que el modelo ofrece un andamiaje eficaz para los aspectos
más próximos a la planificación docente, mientras que aquellos más novedosos
—como la iteración o el ajuste tonal— requieren mayor tiempo y práctica para
consolidarse.
Finalmente, los hallazgos
también ponen de relieve el valor del aprendizaje situado. Tal como se
evidenció en el taller analizado por Graux et al.
(2024), el dominio del prompt engineering
no se adquiere únicamente por exposición a ejemplos, sino por ensayo, error,
retroalimentación y reconstrucción. Incorporar esta competencia en entornos
colaborativos, donde los estudiantes puedan compartir, comentar y reelaborar prompts, puede aumentar tanto su eficacia técnica como su
dimensión crítica y reflexiva.
5. Conclusiones
Este estudio ha permitido
explorar, desde una perspectiva empírica y pedagógica, el desarrollo de la
competencia para diseñar prompts educativos por parte
de estudiantes del Máster de Profesorado de Secundaria. Los resultados
obtenidos confirman que dicha competencia no solo es relevante en el contexto
actual de transformación digital, sino que requiere de estrategias didácticas
específicas para su fortalecimiento. Los datos muestran que los futuros
docentes son capaces de generar instrucciones claras y coherentes
(especialmente en los componentes Contexto y Tarea), pero enfrentan mayores
dificultades en fases más sofisticadas del proceso, como el ajuste del lenguaje
y el refinamiento iterativo. Estas limitaciones coinciden con las barreras
identificadas por otros estudios sobre alfabetización en IA (Zamfirescu-Pereira
et al., 2023; Knoth et al., 2024), y refuerzan la necesidad de incorporar
enfoques sistemáticos como el modelo CRETA+R en la formación inicial. Además,
la comparación entre especialidades revela que el enfoque disciplinar influye
significativamente en el perfil de desempeño. Áreas como Lengua, Inglés o Matemáticas presentan mayor solidez general,
mientras que otras, como Educación Física, evidencian la necesidad de mayor
acompañamiento didáctico.
En este contexto, se
proponen una serie de recomendaciones pedagógicas para favorecer la integración
eficaz del diseño de prompts como competencia
emergente en la formación docente:
Tabla
1
Recomendaciones pedagógicas para el desarrollo de la competencia en diseño
de prompts en la formación docente
|
Área |
Recomendación |
Justificación |
|
Integración curricular |
Incluir el diseño de prompts
como contenido explícito en asignaturas de didáctica, innovación educativa o
competencia digital docente. |
Responde a la necesidad de alfabetización en IA
en formación inicial (Comisión Europea, 2022; Knoth et al., 2024). |
|
Andamiaje metodológico |
Utilizar modelos como CRETA+R para guiar y
estructurar la redacción de prompts, con ejemplos
progresivos y análisis colaborativo. |
Mejora la calidad del diseño y promueve
metacognición (Korzyński et al., 2023). |
|
Iteración y refinamiento |
Fomentar tareas con múltiples rondas de
refinamiento del prompt tras interacción con la IA,
incorporando reflexión crítica sobre los resultados. |
Potencia habilidades adaptativas y
metacognitivas (Bozkurt & Sharma, 2023; Lo, 2023). |
|
Evaluación formativa |
Diseñar rúbricas basadas en CRETA+R que incluyan
criterios de claridad, adaptabilidad, ajuste del lenguaje y proceso de mejora
del prompt. |
Permite retroalimentación efectiva y seguimiento
del progreso (González-Calatayud et al., 2021). |
|
Perspectiva disciplinar |
Adaptar los ejemplos y tareas de diseño de prompts a las necesidades de cada especialidad,
promoviendo enfoques contextualizados. |
Se ajusta a las diferencias observadas por área
de conocimiento (Luckin et al., 2024; nuestros
resultados). |
|
Formación ética y crítica |
Incluir espacios de debate sobre los riesgos,
sesgos y límites de la IA generativa, especialmente en tareas de evaluación
automatizada. |
Alineado con el Reglamento (UE) 2024/1689 y
propuestas de IA inclusiva (Roscoe, 2023; Bearman et al., 2023). |
La integración de estas
prácticas puede contribuir a formar docentes capaces de interactuar de forma
crítica, creativa y ética con herramientas basadas en inteligencia artificial,
avanzando así hacia una educación más inclusiva, reflexiva y tecnológicamente
contextualizada.
Referencias
Baidoo-Anu, D., & Owusu
Ansah, L. (2023). Education in the era of generative artificial
intelligence: Understanding the impact of ChatGPT on teaching and learning. Education
and Information Technologies, 29, 739–758. https://doi.org/10.1007/s10639-023-11948-4
Bearman, M., Ryan, J., & Ajjawi,
R. (2023). Discourses of artificial intelligence in higher education: A
critical literature review. Higher Education, 86, 369–385. https://doi.org/10.1007/s10734-022-00937-2
Bond, M. (2024). AI applications in Initial Teacher
Education: A systematic mapping review. Computers and Education: Artificial
Intelligence, 6, 100228. https://doi.org/10.1016/j.caeai.2024.100228
Bozkurt, A., & Sharma, R. C. (2023). Generative AI
and prompt engineering: The art of whispering to let the genie out of the
algorithmic world. Asian Journal of Distance Education, 18(2), i–vii. https://tinyurl.com/mr2csd5u
Comisión Europea (2022). Directrices
éticas sobre el uso de la inteligencia artificial (IA) y los datos en la
educación y formación para los educadores. Oficina de Publicaciones de la
Unión Europea. https://tinyurl.com/yckdz2vk
Debnath, S., Dai, T., Smith, G., & Sridhar, S.
(2025). Prompt engineering in education: A framework and research agenda. Computers
and Education: Artificial Intelligence, 7, 100289. https://doi.org/10.1016/j.caeai.2025.100289
Eager, B., & Brunton, R. (2023). Prompting Higher
Education Towards AI-Augmented Teaching and Learning Practice. Journal of
University Teaching & Learning Practice, 20(5). https://doi.org/10.53761/1.20.5.02
Federiakin, M., Azaria, A.,
& Hershkovitz, A. (2024). Prompt engineering skills and strategies: Toward
a framework for assessing student interaction with generative AI. Computers
and Education: Artificial Intelligence, 6, 100267. https://doi.org/10.1016/j.caeai.2024.100267
González-Calatayud, V.,
Prendes-Espinosa, P., & Roig-Vila, R. (2021). Artificial
Intelligence for Student Assessment: A Systematic Review. Applied Sciences,
11(12), 5467. https://doi.org/10.3390/APP11125467
Graux, A., Brassier, C., & Guillemet, M. (2024). Prompt
engineering as a learning activity in higher education: A case study of a
design workshop. Computers and Education: Artificial Intelligence, 6,
100258. https://doi.org/10.1016/j.caeai.2024.100258
Higginbotham, G.Z., & Matthews, N.S. (2024).
Prompting and In-Context Learning: Optimizing Prompts for Mistral Large. Research
Square. https://doi.org/10.21203/rs.3.rs-4430993/v1
Knoth, N., Tolzin, A.,
Janson, A., & Leimeister, J. M. (2024). AI literacy and its implications
for prompt engineering strategies. Computers and Education: Artificial
Intelligence, 6, 100225. https://doi.org/10.1016/j.caeai.2024.100225
Korzyński, P., Mazurek, G., Krzypkowska,
P., & Kurasiński, A. (2023). Artificial
intelligence prompt engineering as a new digital
competence: Analysis of generative AI technologies such as ChatGPT. Entrepreneurial
Business and Economics Review, 11(3), 25–37. https://doi.org/10.15678/EBER.2023.110302
Lo, L. (2023). The Art and Science of Prompt
Engineering: A New Literacy in the Information Age. Internet Reference
Services Quarterly, 27, 203–210. https://doi.org/10.1080/10875301.2023.2227621
Luckin, R., Rudolph, J., Grünert,
M., & Tan, S. (2024). Exploring the future of learning and the relationship
between human intelligence and AI. An interview with Professor Rose Luckin. Journal
of Applied Learning and Teaching, 7(1), 346–363. https://doi.org/10.37074/jalt.2024.7.1.27
Moldavan, C., & Nafziger, R. (2024). Scaffolding a
Critical Lens of Generative AI for Lesson Planning. Contemporary Issues in
Technology and Teacher Education, 24(1), 45–62. https://tinyurl.com/mvaeu929
Oppenlaender, J., Linder, R.,
& Silvennoinen, J. (2024). Prompting AI Art: An Investigation into the
Creative Skill of Prompt Engineering. International Journal of
Human–Computer Interaction, 1-23. https://doi.org/10.1080/10447318.2024.2431761
Ranade, D., Gillespie, T., & Lin, T. (2024). Rhetorical
prompting: A framework for prompt design in educational contexts. Learning,
Media and Technology, 49(1), 12–34. https://doi.org/10.1080/17439884.2024.2278910
Reiser, B. J. (2004). Scaffolding complex learning:
The mechanisms of structuring and problematizing student work. Journal of
the Learning Sciences, 13(3), 273–304. https://doi.org/10.1207/s15327809jls1303_2
Roscoe, R. D. (2023). Building inclusive and equitable
artificial intelligence for education. XRDS: Crossroads, The ACM Magazine
for Students, 29(3), 22–25. https://doi.org/10.1145/3589637
Rosenshine, B. (2012). Principles
of Instruction: Research-Based Strategies That All Teachers Should Know. American
Educator, 36(1), 12–19. https://eric.ed.gov/?id=EJ971753
Sajja, R., Sermet, Y., Cikmaz, M., Cwiertny, D., &
Demir, I. (2024). Artificial intelligence-enabled intelligent assistant for
personalized and adaptive learning in higher education. Information, 15(10),
596. https://doi.org/10.3390/info15100596
Silva, B. (2024). Generative Artificial Intelligence
in chemistry teaching: ChatGPT, Gemini, and Copilot’s content responses. Journal
of Applied Learning and Teaching, 7(2). https://doi.org/10.37074/jalt.2024.7.2.13
Theophilou, E., Koyutürka, C., Yavari, M., Bursic,
S., Donabauer, G., Telari, A., Testa, A., Boiano, R.,
Hernández-Leo, D., Ruskov, M., Taibi, D., Gabbiadini, A., & Ognibene, D.
(2023). Learning to Prompt in the Classroom to Understand AI Limits: A Pilot
Study. In Proceedings of the 22nd International Conference of the Italian
Association for Artificial Intelligence (AIXIA 2023), Rome, Italy. https://doi.org/10.48550/arXiv.2307.01540
Unión Europea (2024). Reglamento
(UE) 2024/1689 del Parlamento Europeo y del Consejo, de 13 de junio de 2024,
por el que se establecen normas armonizadas en materia de inteligencia
artificial. Diario Oficial de la Unión Europea, L 144, 12 de julio de 2024.
https://tinyurl.com/9kn8ww8c
Zamfirescu-Pereira, J., Wong, R., Hartmann, B., &
Yang, Q. (2023). Why Johnny Can’t Prompt: How Non-AI Experts Try (and Fail) to Design LLM Prompts. Proceedings of the 2023 CHI
Conference on Human Factors in Computing Systems. https://doi.org/10.1145/3544548.3581388
Material complementario
El conjunto de datos utilizados en este estudio están disponibles previa
solicitud razonable al
autor de correspondencia.
Aprobación ética
Este
estudio no requirió aprobación de comité de ética, dado que se trató de
cuestionarios autoaplicados anónimos sin intervención.
Conflicto de interés
Los autores declaran no
tener conflicto de interés